문제 출처 : https://programmers.co.kr/learn/courses/30/lessons/12978
코딩테스트 연습 - 배달
5 [[1,2,1],[2,3,3],[5,2,2],[1,4,2],[5,3,1],[5,4,2]] 3 4 6 [[1,2,1],[1,3,2],[2,3,2],[3,4,3],[3,5,2],[3,5,3],[5,6,1]] 4 4
programmers.co.kr
문제 설명
N개의 마을로 이루어진 나라가 있습니다. 이 나라의 각 마을에는 1부터 N까지의 번호가 각각 하나씩 부여되어 있습니다. 각 마을은 양방향으로 통행할 수 있는 도로로 연결되어 있는데, 서로 다른 마을 간에 이동할 때는 이 도로를 지나야 합니다. 도로를 지날 때 걸리는 시간은 도로별로 다릅니다. 현재 1번 마을에 있는 음식점에서 각 마을로 음식 배달을 하려고 합니다. 각 마을로부터 음식 주문을 받으려고 하는데, N개의 마을 중에서 K 시간 이하로 배달이 가능한 마을에서만 주문을 받으려고 합니다. 다음은 N = 5, K = 3인 경우의 예시입니다.

위 그림에서 1번 마을에 있는 음식점은 [1, 2, 4, 5] 번 마을까지는 3 이하의 시간에 배달할 수 있습니다. 그러나 3번 마을까지는 3시간 이내로 배달할 수 있는 경로가 없으므로 3번 마을에서는 주문을 받지 않습니다. 따라서 1번 마을에 있는 음식점이 배달 주문을 받을 수 있는 마을은 4개가 됩니다.
마을의 개수 N, 각 마을을 연결하는 도로의 정보 road, 음식 배달이 가능한 시간 K가 매개변수로 주어질 때, 음식 주문을 받을 수 있는 마을의 개수를 return 하도록 solution 함수를 완성해주세요.
제한사항
- 마을의 개수 N은 1 이상 50 이하의 자연수입니다.
- road의 길이(도로 정보의 개수)는 1 이상 2,000 이하입니다.
- road의 각 원소는 마을을 연결하고 있는 각 도로의 정보를 나타냅니다.
- road는 길이가 3인 배열이며, 순서대로 (a, b, c)를 나타냅니다.
- a, b(1 ≤ a, b ≤ N, a != b)는 도로가 연결하는 두 마을의 번호이며, c(1 ≤ c ≤ 10,000, c는 자연수)는 도로를 지나는데 걸리는 시간입니다.
- 두 마을 a, b를 연결하는 도로는 여러 개가 있을 수 있습니다.
- 한 도로의 정보가 여러 번 중복해서 주어지지 않습니다.
- K는 음식 배달이 가능한 시간을 나타내며, 1 이상 500,000 이하입니다.
- 임의의 두 마을간에 항상 이동 가능한 경로가 존재합니다.
- 1번 마을에 있는 음식점이 K 이하의 시간에 배달이 가능한 마을의 개수를 return 하면 됩니다.
입출력 예
| N | road | K | result |
| 5 | [[1,2,1],[2,3,3],[5,2,2],[1,4,2],[5,3,1],[5,4,2]] | 3 | 4 |
| 6 | [[1,2,1],[1,3,2],[2,3,2],[3,4,3],[3,5,2],[3,5,3],[5,6,1]] | 4 | 4 |
입출력 예 설명
입출력 예 #1
문제의 예시와 같습니다.
입출력 예 #2
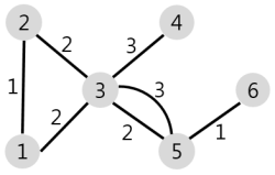
주어진 마을과 도로의 모양은 아래 그림과 같습니다.

1번 마을에서 배달에 4시간 이하가 걸리는 마을은 [1, 2, 3, 5] 4개이므로 4를 return 합니다.
문제 풀이
전형적인 그래프의 최단경로를 구하는 문제이다.
다익스트라 알고리즘으로 1번 노드부터 시작해 모든 노드로 가는 최단 경로를 구하고 K이하인 노드를 count 하면 최적해를 구할 수 있다.
구현 코드
코드 링크 : 배달
import heapq
def Dijcstra(start, graph, distance):
h = []
heapq.heappush(h, (0, start))
while h:
dist, current = heapq.heappop(h)
if distance[current] < dist:
continue
for i in graph[current]:
new_dist = dist + i[0]
if new_dist < distance[i[1]]:
distance[i[1]] = new_dist
heapq.heappush(h, (new_dist, i[1]))
return distance
def solution(N, road, K):
answer = 0
inf = int(1e9)
distance = [inf for _ in range(N+1)]
distance[1] = 0
graph = [[] for _ in range(N+1)]
for a, b, dist in road:
graph[a].append([dist, b])
graph[b].append([dist, a])
distance = Dijcstra(1, graph, distance)
for dist in distance:
if dist <= K:
answer += 1
return answer'Problem Solving > Programmers' 카테고리의 다른 글
| Programmers - 큰 수 만들기[파이썬(python)] (0) | 2022.04.20 |
|---|---|
| Programmers - 괄호 회전하기[파이썬(python)] (0) | 2022.04.19 |
| Programmers - 예상 대진표[파이썬(python)] (0) | 2022.04.17 |
| Programmers - 게임 맵 최단거리[파이썬(python)] (0) | 2022.04.15 |
| Programmers - 징검다리[파이썬(python)] (0) | 2022.04.08 |
댓글